登录
/
注册
服务热线:13613024221
简体中文
English
网站首页
PCB在线计价
SMT在线计价
一站式服务
新闻资讯
关于我们
关于我们
联系我们
★ 网站首页
★ 关于我们
★ PCB在线计价
★ PCBA在线计价
★ 联系我们
淘宝
网站首页 >
新闻资讯 >
PCB生产制造精选
PCB深镀能力的技术
发布时间:2016/11/24
PCB深镀能力的技术
{钓鱼岛科技}了解深镀能力及其影响因素,进而提高高厚径比印刷线路板产品的电镀铜的深镀能力,对于提高电子产品可靠性、降低生产成本、提高生产效率等具有明显的实际应用价值。
镀通孔
镀通孔(Plated Through Hole,PHT)是PCB制造流程中非常重要的一个环节,为实现不同层次的电连接,需要在非金属化通孔孔壁上电镀导电性良好的金属——铜。随着终端产品日趋激烈的竞争,势必对PCB产品的可靠性提出更高的要求。
深镀能力
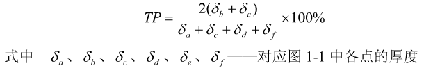
评估PCB镀通孔效果的一个重要指标就是孔内铜镀层厚度的均匀性。在PCB行业,通常以深度能力(Throwing Power,TP)来评估孔壁上铜镀层厚度的均匀性,深镀能力定义为孔中心铜镀层厚度与孔口铜镀层厚度的比值。对于如图1所示的通孔镀件来说,深镀能力(TP)可表示为
通孔模型示意图
厚径比
为了更好的阐述深镀能力,还经常用到板后孔径比,即厚径比。厚径比小,就意味着PCB板薄而孔径较大,电镀过程中的电势分布比较均匀,孔中离子扩散比较容易,所以镀液的深镀能力值往往比较大;反之,厚径比比较高时,孔壁会表现为“狗骨”现象,镀液的深镀能力就较差。
通孔“狗骨示意图”
下表为某厂根据上述定义对PCB产品进行的分类及目前使用的电镀铜工艺的主要性能指标。
PCB产品分类及电镀铜深镀能力指标
目前该公司已在启用60层背板的研制项目,最大板增厚至11mm,厚径比有可能上升到20:1。所以高深镀能力对电镀是非常重要的。
高深镀能力的优势
1.提高可靠性保证
孔壁电镀铜层厚度的均匀性提升,为PCB在后续的表面贴装及终端产品使用过程中的
冷热冲击
等提供了更好的保证,
延长产品的使用寿命
。
2.提升生产效率
电镀工序一般是制造流程中的“瓶颈”工序,深镀能力的提升可
缩短电镀时间,提高产能
。
3.降低制造成本
若某公司用于PCB电镀铜所消耗的铜阳极,光亮剂成本在千万元/年以上
,如果深镀能力在原来基础上提升10%,则至少可以降低材料成本10%的消耗。
此一项的直接收益就在百万元/年,更不算保证产品品质后带来的一系列间接受益。
高TOC值是影响深镀能力的重要因素,持续走高TOC会使得深镀能力下降5-10%,如何有效控制?
很多专业公司也深刻的明白深镀能力对电镀的影响有多大,并积极采取的措施,碳处理确实是一个选择。
但是在一线待过的都知道碳处理辛苦,效果要不如预期好,那或许还有别的方法?
GCT电镀溶液净化服务,可使TOC降低率提高至70%,根据需要进行处理。无污染,无废水。
嗯...在中山客户处的真实处理数据大公开。
GCT处理前
GCT处理后
完成前的TP为65%,完成后TP为71%,效果妥妥的。
上一篇:
2017想做好产品的老板一定要看
下一篇:
影响PCB质量的电镀知识4008607888
更多资讯
PCB-CUT注意事项
2020/7/31 16:24:05
更多详情 >
PCB-CUT注意事项
2020/7/31 16:23:28
更多详情 >
PCB-CUT注意事项
2020/7/31 16:22:36
更多详情 >
PCB设计分析用邮票孔好?V-CUT好?
2020/7/31 16:01:05
更多详情 >